OrgPad logo

Global energy balance vs changes in non-radiative heat flux

Created by Tomas Kalisz

Analysis of an example of global energy balance (GEB) provided by Barton Paul Levenson, with respect to influence of a hypothetical major change in latent heat flux thereon

#GEB, #climate, #global energy balance, #heat flux, #latent heat

Global energy balance vs changes in non-radiative heat flux

TK 20230719 7:18 AM

https://www.realclimate.org/index.php/archives/2023/07/unforced-variations-july-2023/#comment-813242

In Re to

https://www.realclimate.org/index.php/archives/2023/07/unforced-variations-july-2023/#comment-813144 ,

and also to

https://www.realclimate.org/index.php/archives/2023/07/unforced-variations-july-2023/#comment-813212 ,https://www.realclimate.org/index.php/archives/2023/07/unforced-variations-july-2023/#comment-813213

and

https://www.realclimate.org/index.php/archives/2023/07/unforced-variations-july-2023/#comment-813182 .

Dear Piotr, First of all, I would like to refer to my two replies to macias

https://www.realclimate.org/index.php/archives/2023/07/unforced-variations-july-2023/#comment-813215

and

https://www.realclimate.org/index.php/archives/2023/07/unforced-variations-july-2023/#comment-813219

As you may take therefrom, macias made me aware of a serious mistake in my post. As soon as I realized it, I corrected my nonsensical statement regarding the EEI accordingly.

Let me now return to your objection that supplying ca 13 000 km3 water per year to an area of about 10 million km2 of Sahara desert and allowing it to evaporate there during sunny days will inevitably increase the absolute humidity in this area (and, possibly, even globally).

I think the objection deserves a thorough analysis, because I can indeed hardly imagine any reasonable way how to secure the necessary mass flux without securing certain air humidity in the area. I think that we should therefore ask if an increase of the humidity above Sahara desert above its original level is necessary for enabling the contemplated water cycle enhancement – and if so, if the magnitude of the respective increase may cause a significant change in the greenhouse effect.

If we will assume that the evaporated water will circulate within the said area, then the necessary “reservoir” in the atmosphere above this area will be proportionate to the residence time. For the contemplated flux 13 000 km3 per year and average residence time equal to the global average of the water vapour residence time in Earth atmosphere (which is currently about 10 days), the size of the required water reservoir above Sahara desert is about 400 km3 (if we consider this amount of water as a liquid). If the residence time drops to 5 days, the necessary reservoir shrinks to about 200 km3 water only.

Let us now compare these values with the current available size of this reservoir. As the average atmospheric pressure is about 10 N per square centimetre, the atmospheric column above each square kilometre of Earth surface weights about 107 t (1010 kg). Above the entire considered area of 107 km2, it will be about 1014 t air. If the average relative air humidity over Sahara is 25 %, average temperature 30 °C and absolute saturated air humidity at 30 °C is 30 g water in one cubic metre of air, then the 25 % relative humidity corresponds to mass fraction of water in air about 0.068. Average water content over the entire Sahara area would have been thus about 1014 t × 0.068 = 6.8×1011 t, what corresponds to 680 km3 water. According to this very rough estimation, the average air humidity over Sahara could already represent a sufficient water vapour reservoir for the contemplated huge intensification of the water cycle over this area from current 75 mm of average annual precipitation to ca 1300 mm.

Of course, real numbers may differ, e.g. due to fact that we should consider most of evaporation during the time of the most intense surface insolation. I just tried to show that as regards air humidity, we do not start from zero even over Sahara desert, and that this circumstance may play a significant role in estimations how much the contemplated artificial intensification of water evaporation from the surface may influence the absolute air humidity and the infrared absorption linked thereto.

Finally, I would like to look again on your argument that only a small part of the latent heat flow (LE) actually cools Earth surface, because a majority thereof must be re-radiated from the atmosphere back to the surface.

I think that the latent heat flow about 80 W/m2 as given in various global energy balance (GEB) schemes indeed does represent a neat value cooling the Earth surface (not the entire Earth as such!) and that this value shall not be any way re-calculated or corrected (as you assumed so far), for a simple reason that the redistribution of the latent heat flow, as suggested by you, would have destroyed the GEB.

Let us take your argument for valid and assume that 37 % of the heat transported to the atmosphere by non-radiative mechanisms (as latent + sensible heat) indeed adds to the outgoing infrared radiation (OLR) and 63 % to the downwelling infrared radiation (DLR).

Specifically, in the GEB scheme shown in

https://en.wikipedia.org/wiki/File:The-NASA-Earth%27s-Energy-Budget-Poster-Radiant-Energy-System-satellite-infrared-radiation-fluxes.jpg ,

the OLR would have increased from 239.9 W/m2 to 278.7 W/m2. After this recalculation, the Earth would have not been in the present state (a slight positive energy imbalance increasing slowly its temperature) anymore. Instead, it would have suddenly emitted significantly more energy than it obtains from the Sun (if we suppose 287.7 W/m2 as the “enhanced OLR” + 99.9 W/m2 of reflected solar radiation, the EEI would have changed from 0.6 W/m2 to -38.2 W/m2).

If you admit that your assumption (that some values given in the GEB schemes have to be recalculated to reveal the “true” values of the non-radiative energy transfer) was false, the problem vanishes. I suppose that instead, any change in the non-radiative energy flow can be simply subtracted from the upwelling surface radiation, and will result in a commensurate change in mean radiative temperature of Earth surface.

Greetings

Tomáš

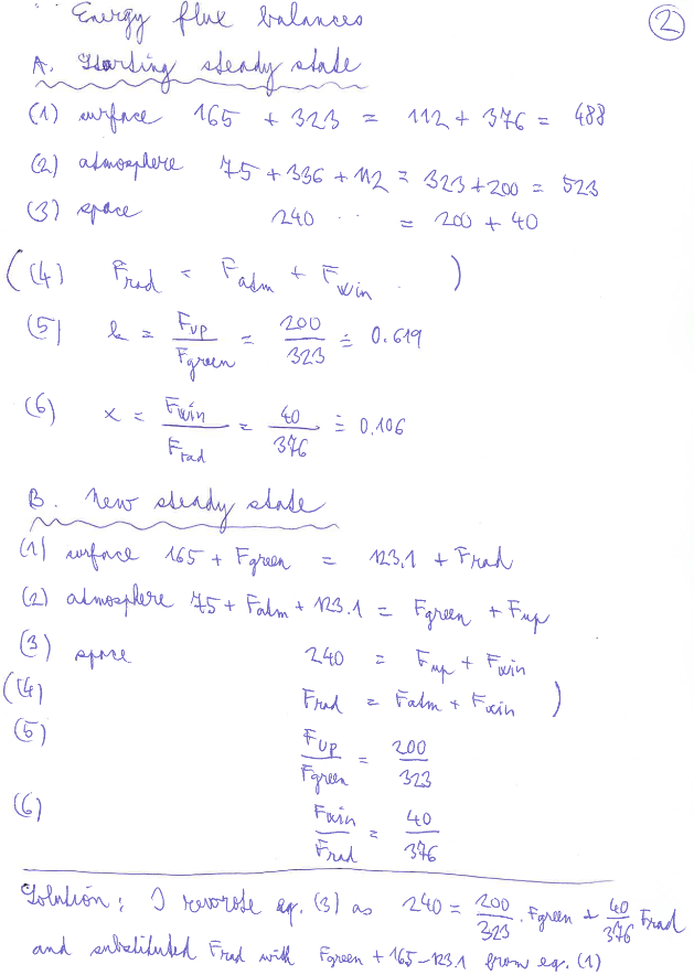
TK processing of the BPL example in handwritten record

BPL_example_TK_solution_1.pdf

BPL_example_TK_solution_2.pdf

BPL_example_TK_solution_3.pdf

water pool estimation over Sahara + typo correction

although there was an unpleasant typing error in mass fraction (had to be correctly 0.0068 instead of 0.068 as given in the text), it is not the "hide the decine" type error, because the result 680 km3 is correct

grafik

grafik

grafik