OrgPad logo

2.A ZPV (2023-24)

Created by Jindřich Zdráhal

2.A ZPV (2023-24)

cooltext464475764287766

Fyzikální veličiny

Fyzikální veličiny - myšlenková mapa

ZDRÁHAL, Jindřich. Fyzika jinak: Mechanika [e-book, pdf]. Koláček Martin - E-knihy jedou, 2018. ISBN 999-00-017-9578-8.

Kinematika

Fyzika jinak - kinematika.pdf 

Kapitolu z knihy "Fyzika jinak" zveřejňuji jako autor jen pro studijní účely a nepřeji si její další šíření ani jakékoliv komerční využívání.

Pojmy / kapitoly, které budou v sešitě:

Dynamika

Zkoumá PROČ se tělesa pohybují

Gravitace

Gravitace-vesmír.pdf

Kapitolu z knihy "Fyzika jinak" zveřejňuji jako autor jen pro studijní účely a nepřeji si její další šíření ani jakékoliv komerční využívání.

Energie, práce atd.

Mechanika tuhého tělesa

Tlak

Mechanika kapalin.pdf

Molekulová fyzika a termika

cooltext425538842362064

cooltext425538854223469

Optika

Část fyziky, která se zabývá zkoumáním světla a světelných jevů.

Optika - pracovní listy.pdf

na blízko = dotykem

velikost

Mechanická energie

Energie je schopnost tělesa konat práci.

Mechanická energie je schopnost tělesa konat mechanickou práci.

Značí se a počítá se v J (joule)

Tuhé těleso

Tuhé těleso je ideální těleso, jehož tvar ani objem se působením libovolných sil nemění.

(Neexistuje!!)

Moment síly vzhledem k ose otáčení

působení na těleso

Rande s fyzikou

Násobné a dílčí jednotky SI

image

Předpona soustavy SI. Wikipedia: the free encyclopedia [online]. San Francisco (CA): Wikimedia Foundation, 2021 [cit. 2021-9-16]. Dostupné z: https://cs.wikipedia.org/wiki/P%C5%99edpona_soustavy_SI

Síla

Nejdůležitější fyzikální veličina používaná v dynamice.

Značí se F její jednotkou je N (newton)

důležité vlastnosti síly

směr

Mechanická práce

Mrkněte na tento díl Rande s fyzikou

Mechanická práce se značí W a jednotkou je J (joule).

Práce je způsob jak tělesům dodávat (nebo odebírat) energii. Tím, že těleso koná práci, tak se snižuje jeho energie.

image

image

Pracovní list - Optika.pdf

paprsková optika

na dálku = prostřednictvím pole

působiště

účinky na těleso

Newtonony pohybové zákony

1. NZ = Zákon setrvačnosti

Těleso setrvává v klidu nebo v pohybu rovnoměrném přímočarém, pokud není působením sil nuceno tento stav změnit.

 

Pohyby

můžeme rozdělit na pohyby

Podle původu

Odraz světla

Dochází k němu na rozhraní dvou optických prostředí.

Odraz světelného paprsku se řídí následujícími pravidly:

Úhel odrazu se rovná úhlu dopadu. Odražený paprsek leží v rovině dopadu.

image

newton

vrhy

Energie polohová (potenciální)

Potenciálních energií je víc (polohová, energie pružnosti), ale my se budeme zabývat jenom polohovou energií.

image

Ep … polohová energie

m … hmotnost tělesa

g … tíhové zrychlení

h … výška

Zdroje světla

3. NZ = zákon akce a reakce

Každá síla (akce) vyvolá sílu (reakci), která je stejně velká a opačně orientovaná. Tyto síly vznikají a zanikají současně.

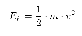
Energie pohybová (kinetická)

Energie, kterou mají všechna pohybující se tělesa

image

Ek … energie kinetická

m… hmotnost

v … rychlost

Kinetická energie je tím větší, čím se těleso pohybuje rychleji a čím má větší hmotnost.

posuvný

to je to, co jsme brali

otáčivý

počítá se s ním trochu jinak

stacionární

je nepohyblivé

Optická soustava

Základem jsou 4 principy:

  1. Přímočaré šíření světla
  2. Nezávislost chodu světelných paprsků
  3. Odraz světla
  4. Lom světla

deformační / statické

pohybové / dynamické

2. NZ = Zákon síly

Síla působící na těleso mu uděluje zrychlení.

image

kombinace

KTL = kinetická teorie látek

Vychází ze 3 předpokladů:

  1. Všechno je složeno s částic
    1. molekuly, atomy, ionty, ...
  2. Tyto částice se neustále a neuspořádaně pohybují
    1. tepelný nebo Brownův pohyb
  3. Tyto částice na sebe působí silami
    1. při velkém přiblížení se odpuzují
    2. při velkém oddálení se přitahují

Pevná látka

http://fyzika.jreichl.com/main.article/view/622-krystalicke-a-amorfni-latky

nestacionární

je pohyblivé

Výkon

Značí se P a měří se ve W (wattech).

Udává kolik práce se vykoná za určitý čas.

image

Účinnost

Udává kolik dodané energie se přemění na energii, kterou chceme (a kolik na energii "odpadní").

Nemá jednotku, ale udává se v % nebo jako desetinné číslo.

image

image...čte se eta a je to účinnost

P … výkon

P0 … příkon

W … práce vykonaná

W0 … práce spotřebovaná

Jak na cos na kalkulačce

TS = termodynamická soustava

těleso nebo skupinu těles, jejichž stav zkoumáme

Ideální plyn

Reálný plyn se vlastnostem ideálního plynu blíží za vysoké teploty a nízkého tlaku

Kapalina

http://fyzika.jreichl.com/main.article/view/638-struktura-a-vlastnosti-kapalin

 

Tady pak ještě povrchová vrstva / napětí a pak kapilarity. Jde se tam proklikat z původního linku.

magnetická siločára (magnetická indukční čára)

Magnetické pole je vírové

dělení

Podle směru paprsků

Bodový

image

Plošný

image

Optická prostředí

Čočky

Čočky.pdf - pracovní list čočky + oko

edu.techmania.cz/cs/encyklopedie/fyzika/svetlo/opticke-zobrazovani/cocky

Lidské oko

edu.techmania.cz/cs/encyklopedie/fyzika/svetlo/lidske-oko

https://edu.techmania.cz/cs/encyklopedie/fyzika/svetlo/lidske-oko/ocni-vady

Zákon zachování energie

Energii neumíme ani stvořit, ani zničit. Umíme jenom měnit její druh.

Děj s TS

Vratný - děj, který proběhne v TS v  jednom směru a ve směru opačném tak, aby se soustava dostala do původního stavu.

Nevratný - v jednom směru probíhá samovolně, k tomu aby děj probíhal opačně je zapotřebí dodat energii

Jednoduché děje s ideálním plynem

  1. Izotermický děj     T=konst
  2. Izochorický děj     V=konst
  3. Izobarickýděj        p=konst
  4. Adiabatický děj     Q=0 

Teplotní roztažnost látek

https://edu.techmania.cz/cs/encyklopedie/fyzika/struktura-latek/vnitrni-energie/teplotni-roztaznost

Deformace pevné látky

http://fyzika.jreichl.com/main.article/view/629-deformace-pevneho-telesa

Tady máme nějaké opáčko / procvičování

https://www.blooket.com/set/62a9b37df872acee91027596 (musíš se přihlásit do blooketu)

stavová rovnice pro ideální plyn

p7luud5gvgahdqual8m9ckv5baprformula

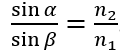
Lom světla

K lomu světela dochází mezi dvěma optickými prostředími, které mají různé optické vlastnosti.

Důležitou vlastností optického prostředí je jeho index lomu a optická hustota.

Značí se n a je to bezrozměrné číslo (nemá jednotku) a jeho minimální hodnota je 1.

Opticky hustší prostředí je s vyšším indexem lomu.

Opticky řidší prostředí je s nižším indexem lomu.

Velikost úhlu dopadu a úhlu lomu se řídí podle Schnellova zákona:

Poměr sinu úhlu dopadu a sinu úhlu lomu je rovný převrácenému poměru indexů lomu daných optických prostředí  

image

. Jiný používaný tvar vzorce je 

image

image

Zrcadla

Nejpoužívanějším materiálem je sklo, na jehož zadní stranu se nanese tenká vrstva kovu.

image

různé stupně uzavřenosti / otevřenosti TS

Práce plynu

http://fyzika.jreichl.com/main.article/view/606-prace-vykonana-idealnim-plynem

Rovnovážný stav TS

Magnetické pole

https://www.wikiskripta.eu/w/Magnetick%C3%A9_pole

magnetickepole.ppt

Jak ovlivňují chod světelných paprsků

Co je to světlo? Elektromagnetické vlnění!

Světlo můžeme vnímat jako elektromagnetické vlnění. Jde o příčné vlnění, které ke svému šíření

nepotřebuje látkové prostředí (proto může světlo putovat i vakuem).

Stejně jako pro jiné elektromagnetické záření, tak i pro světlo je určující veličinou vlnová délka.

Vlnová délka se značí A a její jednotkou je metr.

image

Kf, ElmgSpektrum dostupný jako volné dílo z http://cs.wikipedia.org/wiki/Soubor:ElmgSpektrum.png

Co myslíš?

z hlediska optických vlastností

Rozklad světla - disperze

Při přechodu světelného paprsku z jednoho optického prostředí do druhého dochází k lomu světla.

Každá barva světla má jiný index lomu.

image

stavové veličiny

a některé další

16535706906273165876790215782110

Síla pružnosti

http://fyzika.jreichl.com/main.article/view/630-sila-pruznosti-normalove-napeti

Kruhový děj

http://fyzika.jreichl.com/main.article/view/609-kruhovy-dej

Ampérovo pravidlo pravé ruky (pro přímý vodič)

Naznačíme uchopení vodiče do prvé ruky tak, aby palec ukazoval dohodnutý směr proudu ve vodiči, prsty pak ukazují orientaci magnetických indukčních čar.

image

dělení zrcadel podle tvaru

Newtonovy pohybove zakony

Izotermický

teplota plynu T je konstantní

http://fyzika.jreichl.com/main.article/view/601-izotermicky-dej

Křivka deformace

http://fyzika.jreichl.com/main.article/view/632-krivka-deformace

Izochorický

Objem plynu V je konstantní

http://fyzika.jreichl.com/main.article/view/602-izochoricky-dej

Izobarický

Tlak plynu p je konstantní

http://fyzika.jreichl.com/main.article/view/603-izobaricky-dej

Adiabatický

Nedochází k tepelné výměně s okolím

http://fyzika.jreichl.com/main.article/view/604-adiabaticky-dej

rovinná

sférická

dutá

vypuklá (na povrchu koule)

teploměr

 

teplota

je fyzikální veličina, která charakterizuje     termodynamický stav tělesa.

teplo

Teplo je energie, kterou si tělesa vyměňují. Označuje se Q a měří se v Joulech (J).

image

vnitřní energie soustavy

Vnitřní energie U tělesa (soustavy) je součet celkové kinetické energie neuspořádaně se pohybujících částic tělesa (molekul, atomů a iontů) a celkové potenciální energie vzájemné polohy těchto částic.

Je to energie a tak se samozřejmě měří v J

2. termodynamický zákon

http://fyzika.jreichl.com/main.article/view/610-druhy-termodynamicky-zakon

Znáte seriál "Geniální, ale..."? Tady jsou věci které byste o těch lidech asi ani nechtěli vědět...

https://www.stream.cz/genialni-ale/nikola-tesla-genius-a-vizionar-byl-neuveritelnym-podivinem-a-celozivotnim-panicem-311842

 

Elektrický náboj a elektrické pole
 

magnetické pole vodiče s proudem

image

infračervené záření (IR)

Zdrojem infračerveného záření jsou tělesa, která jsou teplá. Tomuto záření se proto také říká tepelné záření.

Infračervené světlo (záření) je pro lidské oko neviditelné, ale platí pro něj všechna pravidla a zákony jak pro viditelné světlo. Navíc umíme sestrojit přístroje, které toto světlo „vidí“ a umí nám jej převést na viditelné světlo. Jsou to různé termokamery, termodalekohledy, apod. Zkráceně se jim říká termovize.

Vzhledem k tomu, že IR je tepelným zářením, tak se používá také jako infračervené topení (zářič) buď v koupelnách nebo infrasaunách.

Kromě těchto použití se IR používá k přenosu informací: IR port, dálkové ovládání apod.

Viditelné světlo

Udává se, že viditelné spektrum je vlnění v rozsahu 390 nm až 790 nm. V každé publikaci najdete údaj trochu jiný. Žádný z nich není „absolutně správný“, ono každé oko je trochu jiné a vnímá trošku jiné spektrum. Pokud bychom si vytáhli viditelné světlo, tak bychom získali následující obrázek:

image

Gringer, Linear visible spectrum dostupný jako volné dílo z http://cs.wikipedia.org/wiki/Soubor:Linear_visible_spectrum.svg

Všimni si, že tam nikde nenajdeš „bílé“ světlo. Bílé světlo se totiž skládá z různých barev. Nebo naopak můžeme říct, že bílé světlo se může rozložit na jednotlivé barvy. O tom, proč se světlo rozkládá, si budeme říkat později, ale už teď se můžeme podívat na to, jak se rozkládá.

UV

Toto záření je pro lidské oko neviditelné.

Přirozeným zdrojem tohoto zářená je pro nás slunce. Toto záření je pro lidský organismus do jisté míry prospěšné. Kůže reaguje na toto záření tím, že ztmavne (opálí se). Toto záření pomáhá v kůži vytvářet vitamin D.

Ve větší intenzitě je pro lidský organizmus škodlivé, protože způsobuje rakovinu. Pro oči je také škodlivé, proto si musíme zrak chránit brýlemi s UV filtrem. Pro ostatní organizmy je také škodlivé, proto se používá například pro dezinfekci lékařských nástrojů nebo pro čištění vody.

UV záření také reaguje s různými materiály.

Rentgenové záření (RTG, X-ray)

Jedná se o záření s vyšší frekvencí, než je frekvence UV záření. Toto záření má větší energii a tak proniká spoustou materiálů. Díky této vlastnosti se používá například v lékařství k pořizování rentgenových snímků. Toto je principiálně jednoduchá technologie. Rentgenové záření prochází měkkou tkání (kůže, svaly, …), ale kosti jej pohlcují. Toto záření pak dopadá na fotografické desky, které nám po vyvolání ukáží to, co známe jako rentgenové snímky.

Stejně jako UV záření i toto záření u některých materiálů vyvolává fluorescenci. Toto záření je ale pro živé organismy nebezpečnější.

Kalorimetrická rovnice

Teplejší těleso (indexy 1) je ponořeno do chladnější vody (indexy 2). Po nějaké době v kalorimetru ( = izolované soustavě) se teploty vyrovnají. Vypočítá se to podle kalorimetrické rovnice.

Teplejší těleso odevzdá teplo 

image

a toto teplo přijme chladnější těleso

image

když to spojíme do jedné rovnice, tak z toho máme právě tu kalorimetrickou rovnici

image

322192754 743452490448489 8079221897920825059 n

teplotní stupnice

TEPLOTNÍ STUPNICE je dohodou stanovený způsob, kterým jsou jednotlivým teplotám přiřazeny číselné hodnoty.

změna vnitřní energie

Tepelné motory

http://fyzika.jreichl.com/main.article/view/611-tepelne-motory

Coulombův zákon

d5i8844o5l3v4kkpt4s1e3vj9tprformula

d5i8844o5l3v4kkpt4s1e3vj9tprformula

tepelná kapacita

je fyzikální jednotka, která udává kolik tepla se musí konkrétnímu tělesu dodat, aby se ohřálo o 1 °C.

image

konáním práce

image

vykonaná práce se rovná přírůstku vnitřní energie, vždy na úkor Ek nebo Ep

tepelnou výměnou

Děj, při němž neuspořádaně se pohybující částice teplejšího tělesa narážejí  na částice dotýkajícího se studenějšího tělesa a předávají jim část své energie, nazýváme tepelná výměna.

 Teplejší těleso odevzdává studenějšímu teplo (studenější přijímá teplo).

image

magnetické pole cívky

image

Celsiova stupnice

jednotka [ t ]= 1°C (stupeň Celsia)

Je určena dvěma  základními teplotami:

mezi těmito teplotami je stupnice rozdělenana 100 stejných dílků ( 1 dílek ~ 1 °C )

převody

 t = ( { T } – 273,15 ) °C

T = ( { t } + 273,15 ) K

Termodynamická stupnice

Jedna ze základních veličin soustavy SI.

Jednotka [ T ]= 1 K (Kelvin)

Je určena jednou základní teplotou:

Nemůže být záporné

1. termodynamický zákon

Přírůstek vnitřní energie DU soustavy se rovná součtu práce W vykonané okolními tělesy působícími na soustavu silami a tepla Q odevzdaného okolními tělesy soustavě.

image

magnetické pole vodičů tvaru závitu

image

měrná tepelná kapacita

je v podstatě tepelná kapacita, ale přepočítaná na 1 kg hmoty tělesa. Tyto hodnoty můžeme pro jednotlivé materiály najít v tabulkách.

image

způsoby

el. náboj

Značí se Q (někdy q) a počítá se v C (coulomb).

Je kladný nebo záporný.

Nejmenší náboj je náboj jednoho elektronu nebo protonu a jmenuje se elementární.

tepelná výměna vedením

zahřívané částice se rozkmitají a předají svou energie částicím v chladnějších oblastech

různé látky mají různou tepelnou vodivost (největší kovy), voda je velmi špatný vodič a nejmenší tepelnou vodivost mají plyny

el. síla

Značí se Fa jednotkou je normálně N (newton).

Je to síla, kterou se elektricky nabité částice přitahují/odpuzují.

Ze zákona akce a reakce víme, že když na sebe vzájemně působí 2 tělesa, tak síly, které na sebe působí jsou stejně velké.

Coulomb%C5%AFv z%C3%A1kon

Autor: Linda Kočvarová – Vlastní dílo, CC BY-SA 3.0, https://commons.wikimedia.org/w/index.php?curid=17849511

intenzita el. pole

Díky coulombovu zákonu můžeme vypočítat, jak velkou silou nám bude v různách místech působit elektrická síla na konkrétní náboj. Ale abychom to dokázali lépe přepočítávat a líp s tím pracovat, tak si tuto sílu přepočítáváma na jednotkový náboj.

Jinými slovy: intenzita el. pole udává, jak velkou silou bude v daném místě působit elektrické pole na náboj velikosti +1 Q.

Intenzita el. pole se značí E a jednotku má (má jich víc) NC-1

d5i8844o5l3v4kkpt4s1e3vj9tprformula

tepelná výměna prouěním

zahříváme-li kapalinu nebo plyn zdola,  vzniká proudění; chladnější tekutina má větší hustotu, klesá v tíhovém poli dolů a vytlačuje teplejší tekutinu ze dna nádoby vzhůru

proudící tekutina přitom přenáší vnitřní energii

tepelná výměna zářením

Každé těleso vyzařuje tepelné (IR) záření. Část tohoto záření se odrazí, ale zbytek se pohltí a tím se těleso zahřeje.

Tímto způsobem nás třeba ohřívá Slunce.

Magnetická síla

Díky tomu, že se kolem vodiče s el. proudem vytvoří (indukuje) magnetické pole a díky tomu, že se magnetické indukční čáry nedokážou křížit, tak můžeme po zorovat magnetickou sílu. image

Velikost magnetické síly je přímo úměrná proudu I, délce vodiče l .B je magnetická indukce a charakterizuje magnetické pole. α je úhel mezi vodičem a indukčními čarami.

el. proud

Značka I jednotka A (ampér)

Je to usměrněný proud elektricky nabitých částic.

elektricky nabitá částice?

Za náboj mohou chybějící nebo přebývající elektrony.

Proto vlastně existuje pojem elementární náboj = náboj jednoho elektronu (nebo protonu ;) )

Elektricky nabitou částicí se tady myslí většinou elektron nebo nějaký ion.

el. pole

Ze začátku roku víme, že síla působí buď přímo dotekem nebo na dálku prostřednictvím polí.

Elektrická síla působí prostřednictvím elektrického pole.

O elektrickém poli bychom měli vědět, že:

48456ca38b03c95056680a218df69bec

Práce v el. poli

Při přesouvání nábojů v el. poli musím vykonat práci (pokud se s polem 'přetláčím') a nebo práci vykoná pole (když ten náboj přesune to pole).

Víme, že d5i8844o5l3v4kkpt4s1e3vj9tprformula

Když místo F dáme Fe a dráhu si označíme d tak máme vzoreček pro práci v el. poli

d5i8844o5l3v4kkpt4s1e3vj9tprformula

To AB u práce je proto, abychom si vždy připomněli, že je to práce při přesunování náboje z bodu A do bodu B.

V hodině jsme si ale říkali, že nechci počítat sílu, že raději pracuji s 'obecnějšími vzorci' a tak místo el. síly dáme intenzitu el. pole:

d5i8844o5l3v4kkpt4s1e3vj9tprformula

elektrický odpor

Ohmův zákon pro část obvodu

19 6

20 7

usměrněný?

Částice se chaoticky pohybují neustále, aby to byl proud, tak se musí pohybovat převážně 'tím správným směrem' = usměrněný

dělení podle tvaru

Trasformátor

češtinářské okénko

1 ion, ale 2 a víc iontů ;)

radiální / centrální

Výroba střídavého el. proudu

http://fyzika.jreichl.com/main.article/view/324-generator-stridaveho-proudu

El. proud v látkách (vodiče, polovodiče, kapalina, plyn)

elektrickyproudvlatkach.ppt

homogenní

Kirchhoffovy zákony (KZ)

1. KZ - součet proudů vstupujících do uzlu se rovná součtu proudů z uzlu vystupujících.

2. KZ - součet elektromotorického napětí na zdrojích se rovná úbytku napětí na odporech.

Těleso v el. poli

Tělesa se podle chování v elektrickém poli dělí na vodiče a izolanty. Záleží na tom, jestli má těleso volné částice s nábojem nebo nemá.

Pokud má, tak se kladné částice budou snažit dostat k zápornému pólu a naopak. 
Pokud nemá volné částice s nábojem, tak se částice pouze "zorientují" zápornou částí ke kladnému pólu.

http://edu.techmania.cz/cs/encyklopedie/fyzika/elektrostatika/vodic-izolant

Napětí

Ve vzorečku pro práci se mi zase vyskytuje velikost náboje a to se mi nelíbí. Fyzikům se to až tak nelíbilo, že raději zavedli novou fyzikální veličinu - elektrické napětí - U a jednotkou je V (volt)

d5i8844o5l3v4kkpt4s1e3vj9tprformula

elektromagnetická indukce

Při pohybu magnetem vzniká nestacionární mag. pole. Když budeme mít nestacionární mag. pole v blízkosti cívky, tak se na ní bude indukovat elektrické pole.

Nestacionární pole je příčinou vzniku indukovaného elektrického pole a tento jev nazývá elektromagnetická indukce. Na koncích cívky vzniká indukované elektromotorické napětí a uzavřeným obvodem prochází indukovaný proud

PN přechod

http://fyzika.jreichl.com/main.article/view/264-prechod-pn

Střídavý el. proud

Jestliže se hodnota napětí na svorkách zdroje nemění, obvodem protéká stálý, tzv. stejnosměrný proud. 

Bude–li se polarita obou svorek rychle a periodicky měnit, bude se ve stejném rytmu měnit i směr elektrického napětí, získáme tzv. střídavé elektrické napětí. Připojíme–li ke svorkám zdroje střídavého napětí elektrický obvod, bude jím procházet proud, který periodicky mění směr i velikost, tzv. střídavý elektrický proud.

polovodičové součástky

http://fyzika.jreichl.com/main.article/view/268-polovodicove-soucastky

31

Zdroj: Techmania Science Center. Autor: Magda Králová. Under Creative Commons.

POZOR!

Všimni si, že práce se počítá pro pohyb náboje mezi dvěma body => elektrické napětí se taky dá počítat / měřit jenom mezi dvěma body!

332522559 3434873626772050 5225643125900464998 n

Zdroj: Robert Edward Grant. Facebook [online]. [cit. 2023-02-25]. Dostupné z: https://www.facebook.com/photo/?fbid=751328469689186&set=a.594028032085898

32 0

Zdroj: Techmania Science Center. Autor: Magda Králová. Under Creative Commons.

Elektromagnetické vlnění

https://edu.techmania.cz/cs/encyklopedie/fyzika/elektromagneticke-vlny/elektromagneticke-vlneni

24-elektromagneticke-vlneni.pdf

Kapacita vodiče

Při určitém napětí se do vodiče zapojeném jen k jednonu pólu zdroje může "dostat" jen určité množství náboje. Toto množství se jmenuje kapacita. Značí se písmenem C a jednotkou je F (farad).

Důkladněji (včetně vzorečků, které ale nebudeme potřebovat) je to popsáno na následujících odkazech:

Kondenzátory

230px-Capacitors %287189597135%29

Kondenzátory jsou pasivní elektronické součástky, jejichž charakteristickou vlastností je kapacita [F].

Kondenzátor se skládá ze dvou vodivých elektrod oddělených od sebe navzájem elektricky nevodivou látkou - izolantem - tzv. dielektrikem. Izolantem může být vzduch, papír, metalizovaný papír, plastová fólie, slída nebo keramika.Kondenzátor je schopen akumulovat energii ukládáním elektrického náboje na svých elektrodách .

120px-Symbol Capacitor %28common%2C horizontal%29.svg

A v podstatě všechno (a ještě o trochu víc) najdete o kondenzátorech zde:

http://old.spsemoh.cz/vyuka/zel/kondenzatory.htm

image106

obrázek jsem si půjčil z http://fyzika.jreichl.com/main.article/view/234-spojovani-kondenzatoru kde také získáte víc informací o spojování kondenzátorů.

serial vs paralel